Contoh Soalan Karangan Laporan Spm
Contoh karangan - kerjaya bidang pertanian. SPM KOMSAS Penulisan Tatabahasa Info PT3 Nota Novel STPM Tingkatan 4 Tingkatan 5 Karangan A PMR Tingkatan 1 Peribahasa Kesusasteraan Santai Bahasa Morfologi Sajak UNIVERSITI Rumus Teknik Aktiviti Bahasa Guru Jurnal Teks Pengacaraan Pengacaraan soalan-jawapan Aspek Tatabahasa Prosa Tradisional Ujian mata kosa kata Antologi Jaket Kulit Kijang.
Karangan Dialog Bahasa Melayu Pt3 Spm Contoh Terbaik
Contoh karangan - PIBG dll.
. Panjangnya karangan anda hendaklah. 2010 - Jun 2020. Senarai contoh ujian lisan bertutur bahasa melayu pt3 bm tahun 2021 untuk pentaksiran peperiksaan tingkatan 3 bagi tajuk.
Antara 300 hingga 500 patah perkataan. Item contoh contoh soalan bahasa melayu bm spm format baharu mulai tahun. Contoh karangan - Kerjaya impian.
SUMBER RUJUKAN PILIHAN KARANGAN RESPONS TERBUKA - DOMAIN KERJAYA. Panduan buat pelajar tingkatan 3 yang bakal menduduki peperiksaan. Kita baru sahaja meraikan sambutan Hari Alam Sekitar iaitu pada tanggal 5 Jun yang lalu.
Dapatkan koleksi karangan bm pt3 di. Analisis Kekerapan soalan sebenar BMSPM Nov. KARANGAN RESPONS TERBUKA.
BAHAGIAN B 70 Markah Hasilkan sebuah karangan yang lengkap. Cara hampa sebut each one of the words. CONTOH KARANGAN DOMAIN AWAM BAHAGIAN B BM SPM KSSM.
Skema Jawapan Malaysia Dan Kerjasama Masyarakat Antarabangsa Study Notes Book Aesthetic Graduation Cartoon
Format Karangan Laporan Bm Thn 5 6
Doc Soalan Contoh Laporan Nasrul Nadzmi Academia Edu
Format Penulisan Laporan Aktiviti Contoh Contohnya
Karangan Laporan Lawatan Sambil Belajar Ke Kuala Lumpur Karangan Contoh Cikgugoh
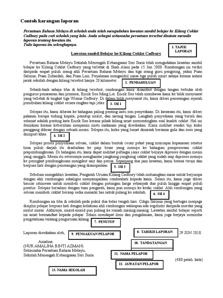
Format Dan Contoh Karangan Laporan Pdf
Karangan Laporan Lawatan Sambil Belajar Ke Kuala Lumpur Karangan Contoh Cikgugoh
Contoh Soalan Karangan Laporan Spm Kecemasan S
Latihan Pemulihan Bahasa Melayu Tahun 3 Malay Language Grammar And Vocabulary Homeschool Writing
List Of Schools In Malaysia Which Offers Form 6 Classes School List School 6 Class
Contoh Soalan Karangan Laporan Nurin Babyaloves
Contoh Soalan Karangan Ucapan Spm Resepi Book F
Contoh Karangan Laporan Spm Englshdaba
Karangan Suasana Di Hospital Language Malay Grade Level Tahun 4 Tahun 6 School Subject Bahasa Melayu Bm Main C Malay Language Workbook School Subjects




0 Response to "Contoh Soalan Karangan Laporan Spm"
Post a Comment